• Предмет: Алгебра
  • Автор: TanyaDasy
  • Вопрос задан 9 лет назад

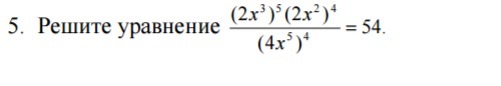
решите пожалуйста уравнение !!!))) Дам 20 баллов

Приложения:

Ответы

Ответ дал: Настягерой
0
я вообще-то в третьем классе а ты новерное в 6класе
Ответ дал: TanyaDasy
0
в 7
Ответ дал: TanyaDasy
0
я спрашиваю тех кто может и знает а не третиклассников
Вас заинтересует