Ответы
Ответ дал:
0
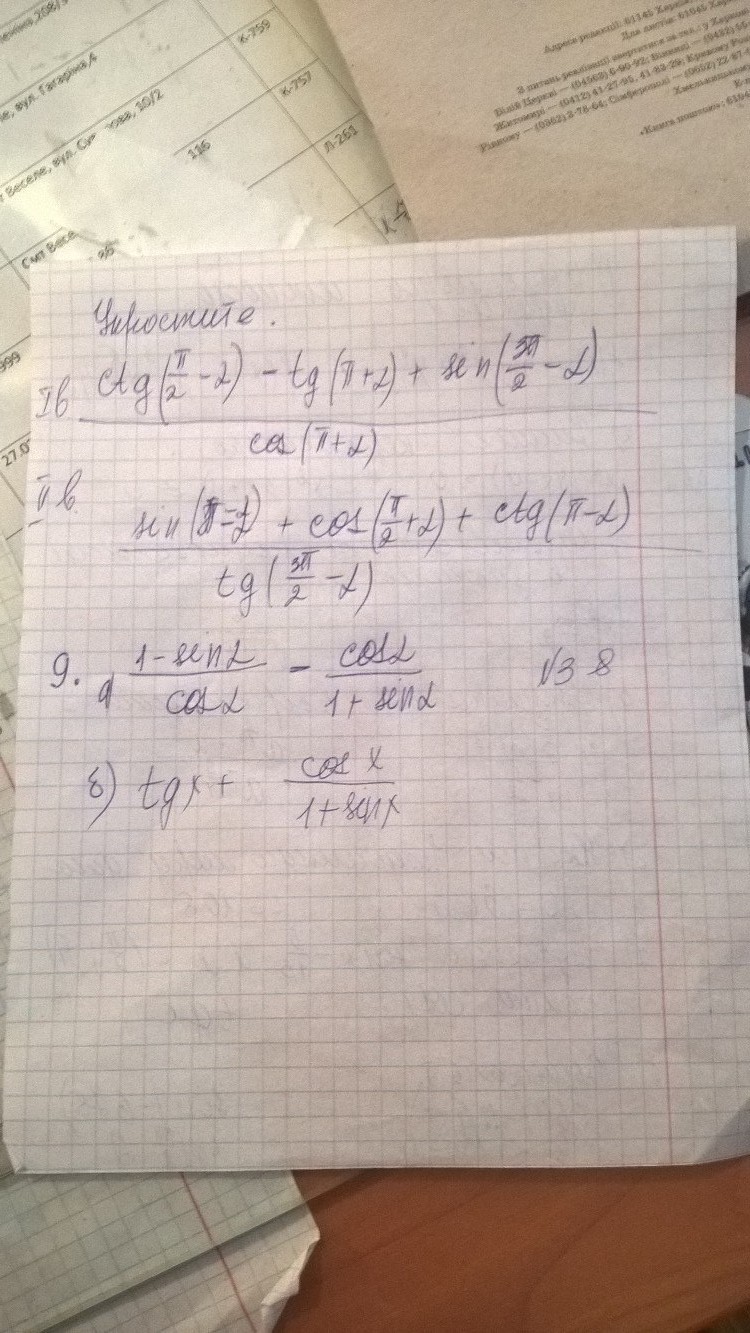
a)
(1-sinα) / cosα -cosα /(1+sinα) =((1-sinα)(1+sinα) -cos²α) / cosα(1+sinα) =
((1-sin²α) - cos²α) / cosα(1+sinα) =(cos²α - cos²α) / cosα(1+sinα) =0 .
б)
tqx + cosx /(1+sinx) = sinx / cosx +cosx /(1+sinx) =
(sinx(1+sinx) +cos²x) / cosx(1+sinx) = (sinx+sin²x+cos²x) / cosx(1+sinx) =
(1+sinx) / cosx(1+sinx) = 1 /cosx .
(1-sinα) / cosα -cosα /(1+sinα) =((1-sinα)(1+sinα) -cos²α) / cosα(1+sinα) =
((1-sin²α) - cos²α) / cosα(1+sinα) =(cos²α - cos²α) / cosα(1+sinα) =0 .
б)
tqx + cosx /(1+sinx) = sinx / cosx +cosx /(1+sinx) =
(sinx(1+sinx) +cos²x) / cosx(1+sinx) = (sinx+sin²x+cos²x) / cosx(1+sinx) =
(1+sinx) / cosx(1+sinx) = 1 /cosx .
Ответ дал:
0
спасибо большое))
Вас заинтересует
2 года назад
7 лет назад
7 лет назад
10 лет назад
10 лет назад