• Предмет: Математика
  • Автор: ворыч
  • Вопрос задан 11 лет назад

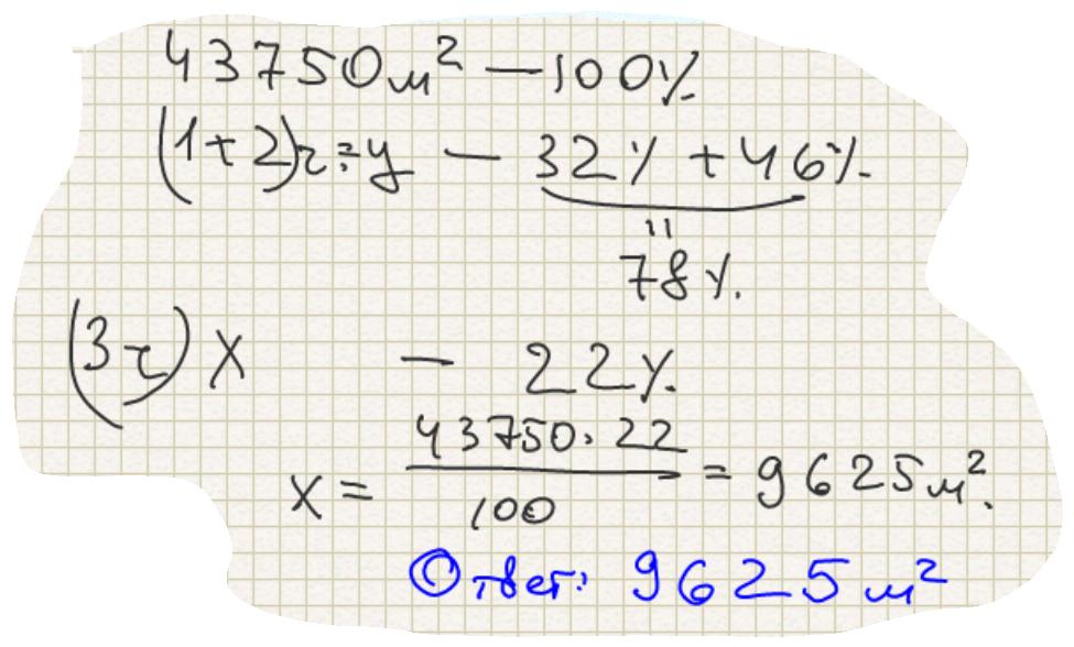
за 3 часа работы бригада по уборке снега очистили 43750м² дорожного покрытия.за первый час было убрано 32% этой площади,а за второй 46% оставшейся.Какая площадь была очищена за третий час?

Ответы

Ответ дал: Александр175
0

1) 43750/100 *32=14000 (м2) -1 час

2) (43750-14000)/100 *46=13685 (м2)- за второй час

3) 43750-14000-13685=16065 (м2) - за третий час 

Ответ:16065 м2

Ответ дал: moonykate
0

Решение во вложении ...........................................

Приложения:
Вас заинтересует