нужно упростить выражение, 11 класс, нужно очень
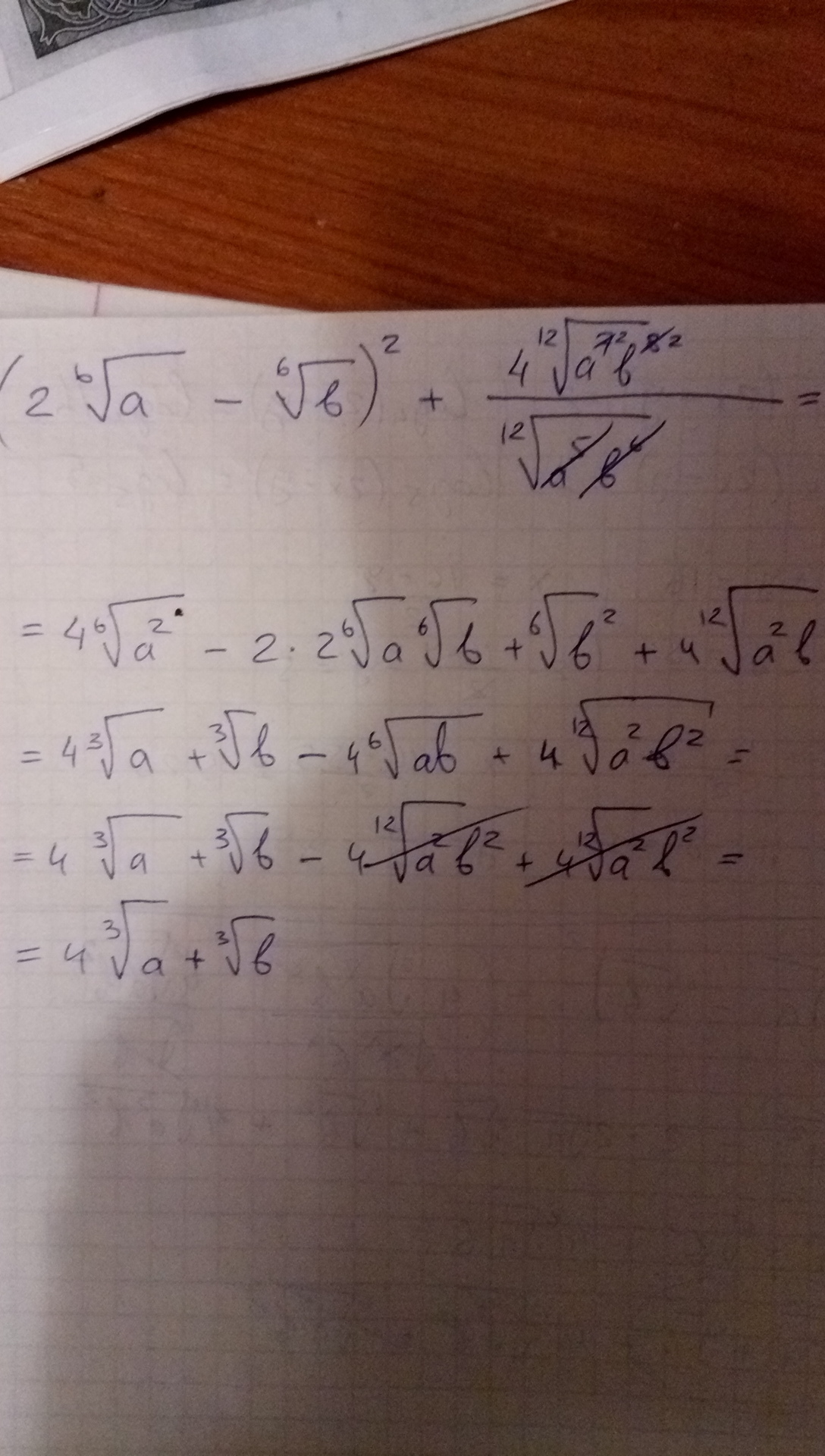
(2 корень шестой степени из a -корень шестой степени из b)^2 + 4 корень 12-ой степени из a^7 b^8 : корень 12-ой степени из a^5 b^6
Приложения:

Ответы
Ответ дал:
0
у меня получилось так
Приложения:

Вас заинтересует
2 года назад
2 года назад
9 лет назад
9 лет назад
10 лет назад