• Предмет: Алгебра
  • Автор: smokeonwater
  • Вопрос задан 9 лет назад

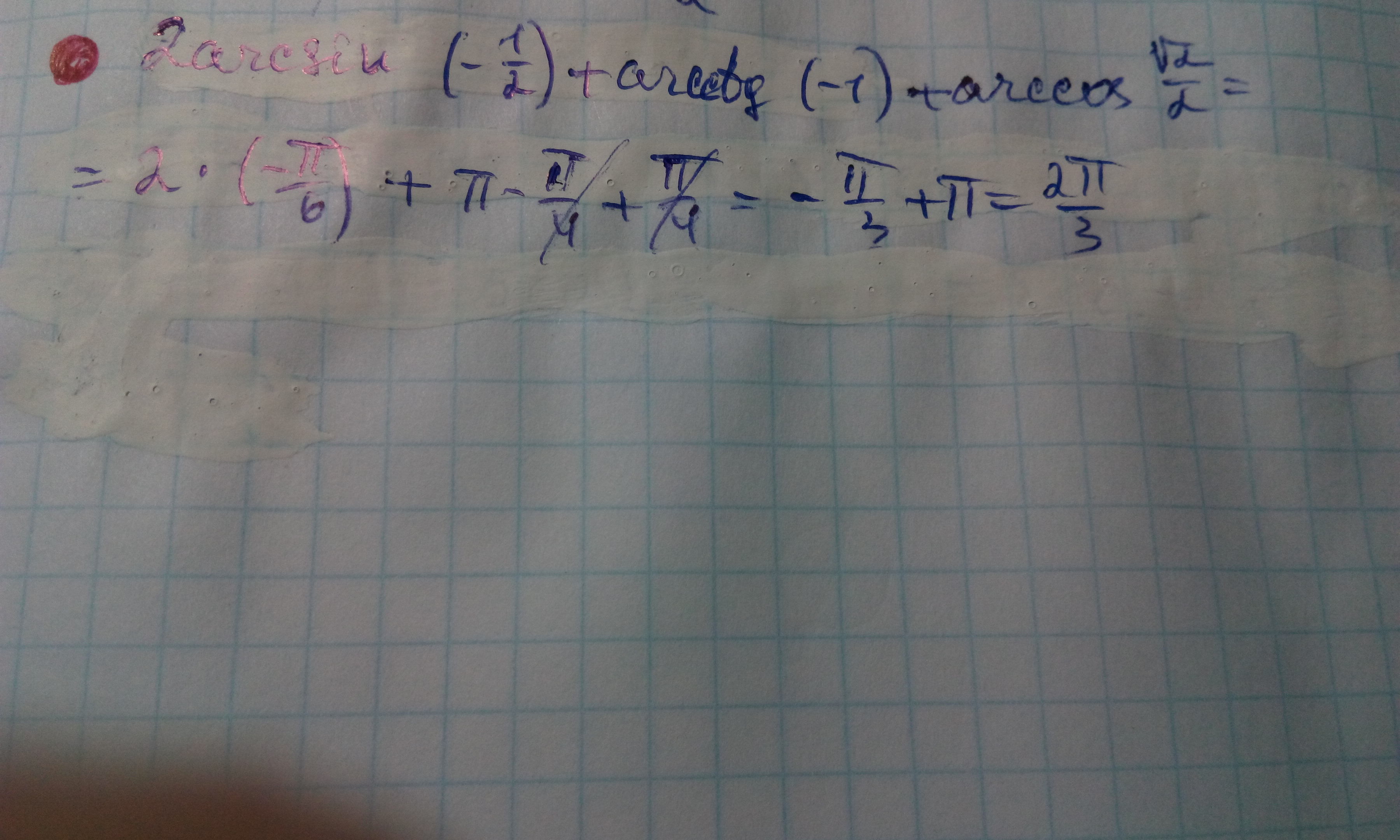
помогите пожалуйста 1)2arcsin(-1/2)+arcctg(-1)+accos√2/2

Ответы

Ответ дал: irinan2014
0
Решение дано на фото.
Приложения:
Ответ дал: teledima00
0
-2* frac{ pi }{6} +( pi - frac{pi}{4})+  frac{pi}{4} =- frac{pi}{3}+ frac{3pi}{4} + frac{pi}{4}  = frac{2pi}{3}
Приложения:
Вас заинтересует