1)Сечение перпендикулярное к радиусу шара,делит этот радиус пополам.Площадь поверхности шара равна 144п.Найдите объем большего сегмента,отсекаемого от шара. 2)Внешний диаметр полого шара равен 18 см,а толщина стенок 3 см.Найдите объем материала из которого сделан шар.
Ответы
Ответ дал:
0
1)S=4πr²
r²=144π/4π=36
r=6
Значит сечение делит на 3 и 9
V= π9²(6-9/3)=81π*3=243π
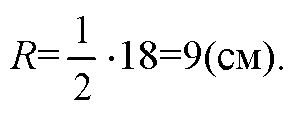
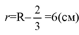
второй во влдожении
Приложения:




Вас заинтересует
2 года назад
2 года назад
8 лет назад
10 лет назад
10 лет назад