• Предмет: Математика
  • Автор: janabbb
  • Вопрос задан 9 лет назад

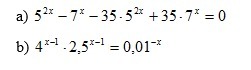
Решите, пожалуйста, пример А ( пример в изображении)

Приложения:

Ответы

Ответ дал: Klick
0
5^2х=7^х
х=х*log7(25)
х=0
Вас заинтересует