• Предмет: Алгебра
  • Автор: kokos19122001
  • Вопрос задан 9 лет назад

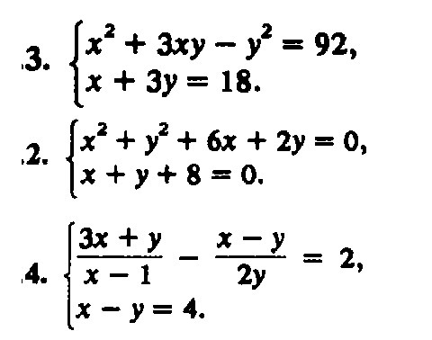
Розвжите системы пожалуйста))

Приложения:

Ответы

Ответ дал: miron2077
0
решение в приложении
Приложения:
Вас заинтересует