• Предмет: Алгебра
  • Автор: Dania991
  • Вопрос задан 9 лет назад

помогите решить срочно

Приложения:

Ответы

Ответ дал: UluanaV
0
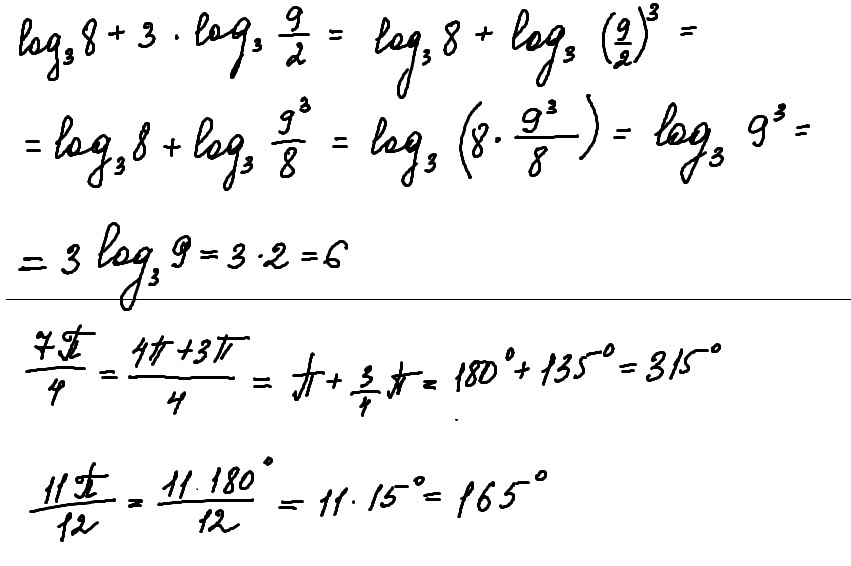
Решение в прикрепленном файле.
Приложения:
Ответ дал: Dania991
0
там по формуле частного?
Вас заинтересует