Ответы
Ответ дал:
0
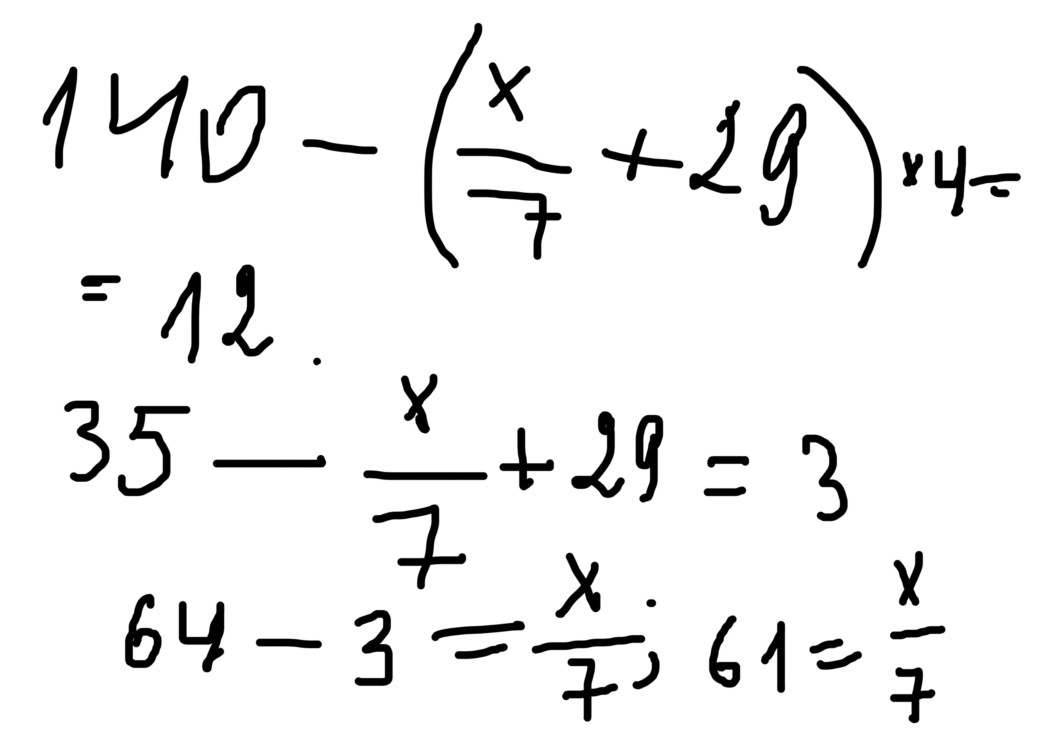
тогда х = 61 * 7 = 427
Приложения:

Ответ дал:
0
Х раве 427 ,,,,,,,,,,,,,,,
Приложения:

Вас заинтересует
2 года назад
2 года назад
7 лет назад
9 лет назад
9 лет назад
10 лет назад