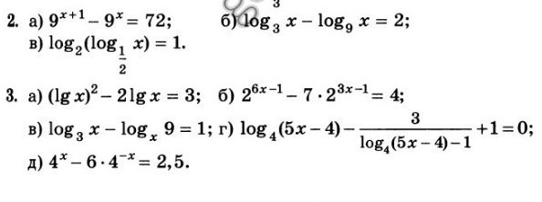
2 задания решите! под номерами 2,3! СРОЧНО !!ПОДРОБНО!! 20 БАЛЛОВ!!2 задания решите! под номерами 2,3! СРОЧНО !!ПОДРОБНО!! 20 БАЛЛОВ!!2 задания решите! под номерами 2,3! СРОЧНО !!ПОДРОБНО!! 20 БАЛЛОВ!!2 задания решите! под номерами 2,3! СРОЧНО !!ПОДРОБНО!! 20 БАЛЛОВ!!2 задания решите! под номерами 2,3! СРОЧНО !!ПОДРОБНО!! 20 БАЛЛОВ!!2 задания решите! под номерами 2,3! СРОЧНО !!ПОДРОБНО!! 20 БАЛЛОВ!!
Приложения:
                    
                            Ответа на этот вопрос пока нет. Попробуйте найти его через форму поиска.
Вас заинтересует
                
                        2 года назад
                    
                
                        2 года назад
                    
                
                        7 лет назад
                    
                
                        7 лет назад
                    
                
                        9 лет назад
                    
                
                        10 лет назад
                    
                
                        10 лет назад