Ответы
Ответ дал:
0
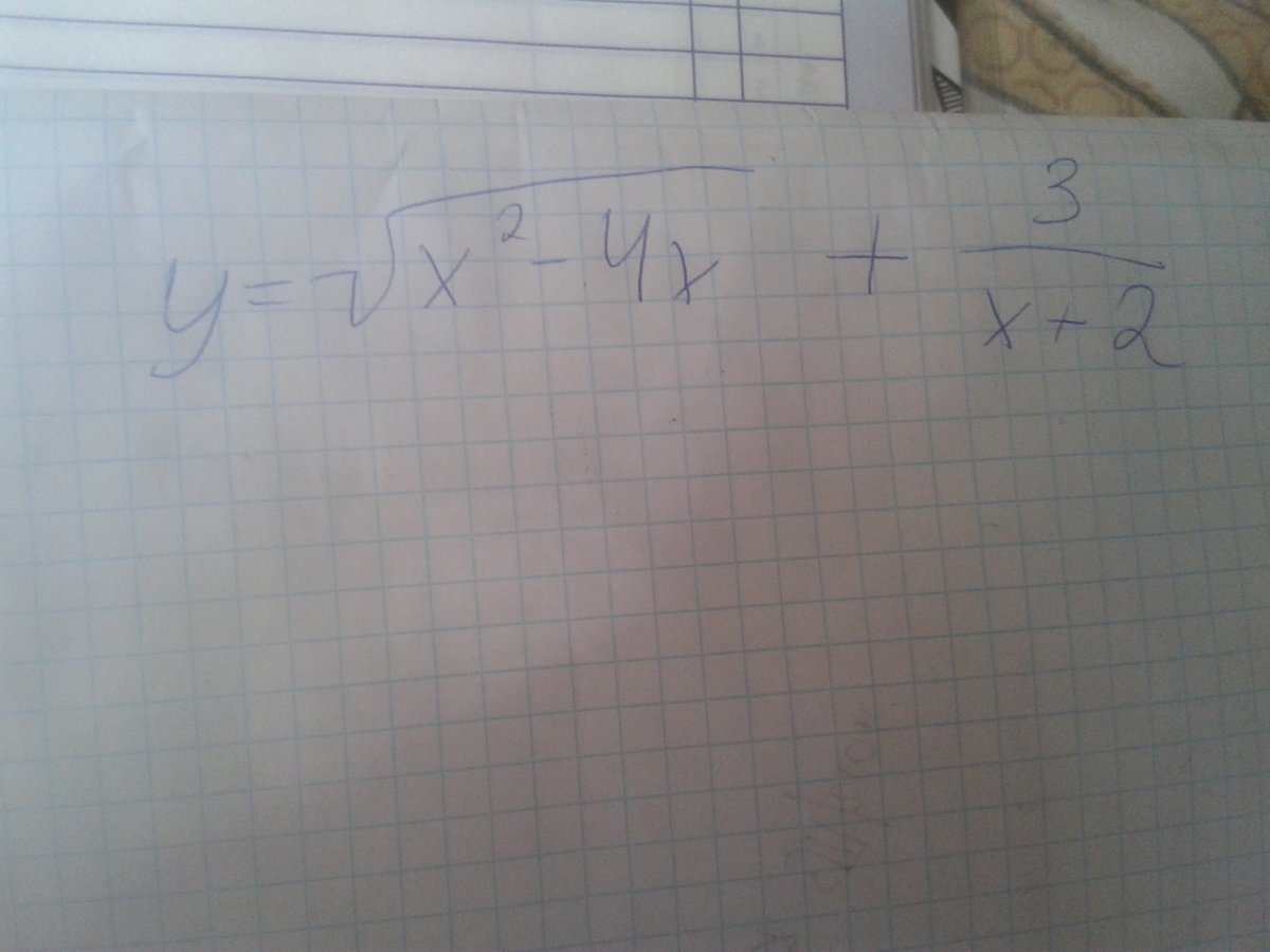
1) под корнем должно быть неотрицательное число
x²-4x≥0
x(x-4)≥0
x∈(-беск, 0]U[4, +беск)
2) в знаменателе не должен быть нуль
x+2≠0
x≠-2
Значит D(y)=(-беск, -2)U(-2,0]U[4, +беск)
x²-4x≥0
x(x-4)≥0
x∈(-беск, 0]U[4, +беск)
2) в знаменателе не должен быть нуль
x+2≠0
x≠-2
Значит D(y)=(-беск, -2)U(-2,0]U[4, +беск)
Вас заинтересует
8 лет назад
8 лет назад
11 лет назад
11 лет назад