• Предмет: Математика
  • Автор: ilkralkaya
  • Вопрос задан 9 лет назад

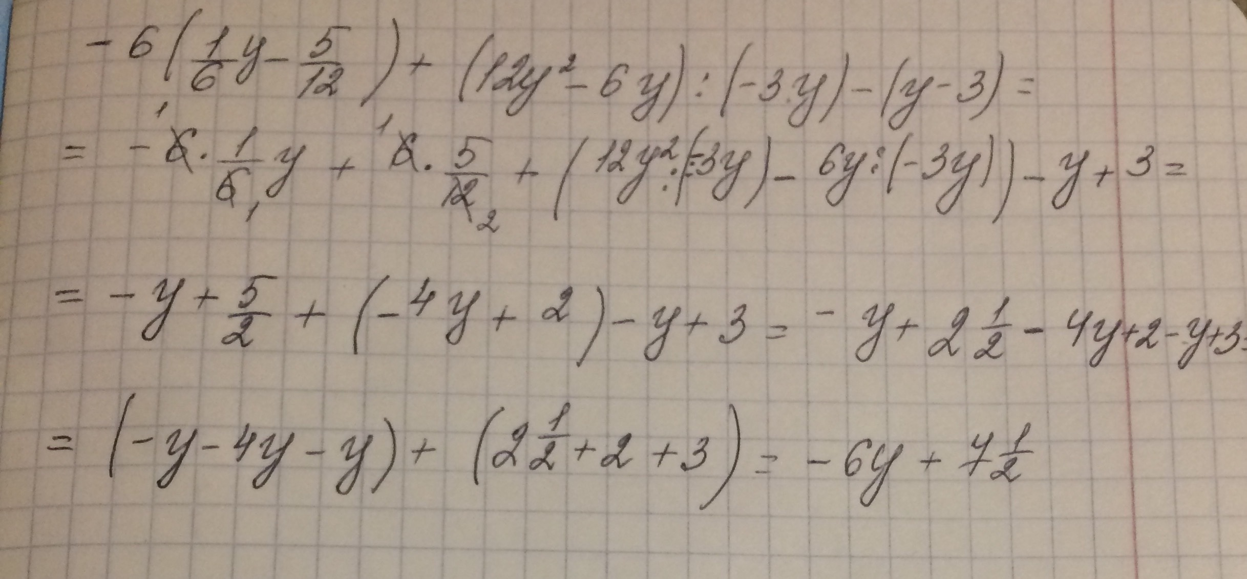
Помогите решить пример. Упростите выражения -6(1/6у-5/12)+(12у*-6у):(-3у)-(у-3);

Ответы

Ответ дал: Vikkyy
0
Думаю так) ...................
Приложения:
Вас заинтересует