• Предмет: Алгебра
  • Автор: gvozdkov2001
  • Вопрос задан 9 лет назад

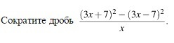
ребят помогите пожалуйста... желательно решение на фотках..

Приложения:

Ответы

Ответ дал: KatyaKaterina2003
0
По формулам сокращённого умножения (это один способ, там ещё второй есть, но сложнее).
Приложения:
Ответ дал: KatyaKaterina2003
0
Пожалуйста
Вас заинтересует