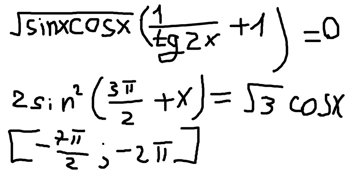
Решить два уравнения.
Также во втором уравнении Найти все корни этого уравнения, принадлежащие промежутку ( На рисунке отмечен)
Приложения:

Ответа на этот вопрос пока нет. Попробуйте найти его через форму поиска.
Вас заинтересует
2 года назад
2 года назад
7 лет назад
9 лет назад