• Предмет: Алгебра
  • Автор: vanek77711
  • Вопрос задан 11 лет назад

 

ПОМОГИТЕ!          

 

     Решите уравнение х3 - 2х2 - 3х + 6=0.

 

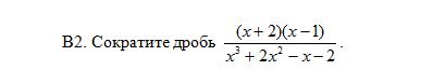
и Сократить дробь во вложении

 

Приложения:

Ответы

Ответ дал: КоноваловМакс1997
0

Все решение изложено на фотографии. Что не понятно спрашивай!!!! На другой фотке все понятнее!

 

Вас заинтересует