• Предмет: Математика
  • Автор: psix4354
  • Вопрос задан 9 лет назад

Помогите пожалуйста срочно!!!!!!!!!!

Приложения:

Ответы

Ответ дал: Trover
0
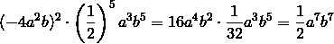
(-4a^2b)^2cdotleft(frac12right)^5a^3b^5=16a^4b^2cdotfrac1{32}a^3b^5=frac12a^7b^7
Приложения:
Вас заинтересует