• Предмет: Математика
  • Автор: sweetcherru
  • Вопрос задан 9 лет назад

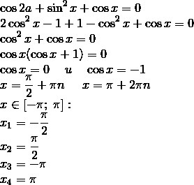
найдите все решения уравнения cos2x+sin^2x+cosx=0, принадлежащие отрезку [-п;п]

Ответы

Ответ дал: Trover
0
cos2a+sin^2x+cos x=0\2cos^2x-1+1-cos^2x+cos x=0\cos^2x+cos x=0\cos x(cos x+1)=0\cos x=0quad;uquadcos x=-1\x=fracpi2+pi n;;;;;x=pi+2pi n\xin[-pi;;pi]:\x_1=-fracpi2\x_2=fracpi2\x_3=-pi\x_4=pi
Приложения:
Вас заинтересует