Ответы
Ответ дал:
0
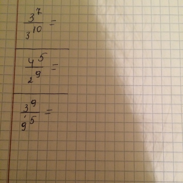
1) 3^7/3^10 = 3^(7-10) = 3^(-3) = 1/3³ = 1/27
2) 4^5/2^9 = (2²)^5/2^9 = 2^10/2^9 = 2^(10-9) = 2¹ = 2
3) 3^9/9^5 = 3^9/(3²)^5 = 3^9/3^10 = 3^(9-10) = 3^(-1) = 1/3¹ = 1/3
2) 4^5/2^9 = (2²)^5/2^9 = 2^10/2^9 = 2^(10-9) = 2¹ = 2
3) 3^9/9^5 = 3^9/(3²)^5 = 3^9/3^10 = 3^(9-10) = 3^(-1) = 1/3¹ = 1/3
Ответ дал:
0
Знаешь ли ты химию 11 класса??
Вас заинтересует
2 года назад
2 года назад
7 лет назад
10 лет назад
10 лет назад
10 лет назад
10 лет назад