• Предмет: Алгебра
  • Автор: sunrise2281337
  • Вопрос задан 9 лет назад

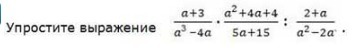
Упростите выражение. ПОМОГИТЕ ПОЖАЛУЙСТА

Приложения:

Ответа на этот вопрос пока нет. Попробуйте найти его через форму поиска.

Вас заинтересует