• Предмет: Алгебра
  • Автор: Кариночка78
  • Вопрос задан 9 лет назад

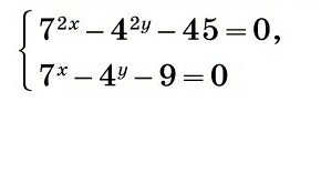
Решить систему уравнений.

Приложения:

Ответы

Ответ дал: ВладимирБ
0
Решение смотри на фото
Приложения:
Ответ дал: Кариночка78
0
Спасибо
Вас заинтересует