• Предмет: Физика
  • Автор: shkolnik33333
  • Вопрос задан 9 лет назад

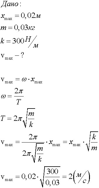
Груз с массой 30 г подвешен на пружине с жесткостью 300 Н/м. Если амплитуда груза 2 см, то максимальная скорость приобретаемая грузом равна

Ответы

Ответ дал: vadimnigamaev
0
Вот держите. Здесь подробное решение с ответом.
Приложения:
Вас заинтересует