• Предмет: Алгебра
  • Автор: myr9myr9myr
  • Вопрос задан 9 лет назад

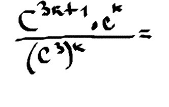
Представьте выражение в виде степени с основанием с

Приложения:

Ответы

Ответ дал: oppression
0
 frac{c^{k+5}*c^k}{(c^2)^k} = frac{c^{2k+5}}{c^{2k}} =c^5
 frac{c^{3k+1}*c^k}{(c^3)^k} = frac{c^{4k+1}}{c^{3k}} =c^{4k+1-3k}=c^{k+1}
Вас заинтересует