• Предмет: Математика
  • Автор: kbrkyana
  • Вопрос задан 9 лет назад

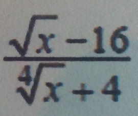
Скоротить. Как решить это уравнение?

Приложения:

Ответа на этот вопрос пока нет. Попробуйте найти его через форму поиска.

Вас заинтересует