Ответы
Ответ дал:
0
не знаю вроде правильно мы такое не изучали я в 4
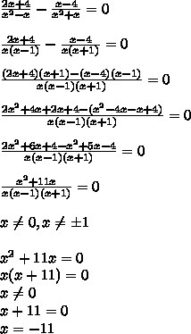
Приложения:

Ответ дал:
0
мальчики из прочитанного текста мечтали о разных подвигах, мечтали стать знаменитыми. Напиши,мечтаешь ли ты стать знаменитым.Почему?
Ответ дал:
0
Теперь ты!)
Ответ дал:
0
а)8х-2х²
б)х³у+х²у²+х³у³
б)х³у+х²у²+х³у³
Приложения:

Вас заинтересует
2 года назад
2 года назад
7 лет назад
7 лет назад
9 лет назад
10 лет назад