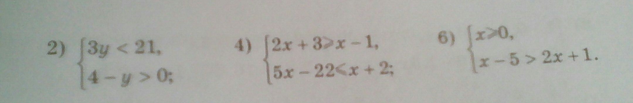
Решите систему неравенств:
На картинке (в отличном качестве)
Прошу показать ещё на координатной прямой!
Приложения:


Ответы
Ответ дал:
0
С координатной может что-то намудрила,но вот
Приложения:

Вас заинтересует
2 года назад
2 года назад
7 лет назад
7 лет назад
9 лет назад
9 лет назад
10 лет назад