• Предмет: Алгебра
  • Автор: alina153669
  • Вопрос задан 9 лет назад

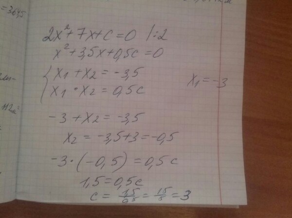
2x^2+7x+c=0
x1= -3
Найти: с и x2

Ответы

Ответ дал: SVETA1951TIT
0
ответ//////////////////////////////////////////
Приложения:
Вас заинтересует