• Предмет: Математика
  • Автор: Jaskel999
  • Вопрос задан 11 лет назад

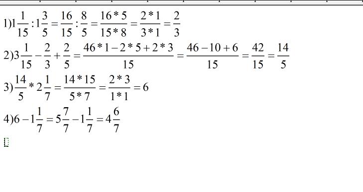
решите пример очень срочно.(3 целых 1/15-1 целая 1/15:1 целая 3/5+2/5)*2 целых 1/7-1 целая 1/7

Ответы

Ответ дал: triolana
0

по действиям

=======================================================

Приложения:
Вас заинтересует