• Предмет: Алгебра
  • Автор: Rorymax
  • Вопрос задан 9 лет назад

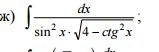
Помогите с интегралом пожалуйста!

Приложения:

Ответы

Ответ дал: NNNLLL54
0
 int frac{dx}{sin^2xsqrt{4-ctg^2x}} =[, t=ctgx; ,; dt=-frac{dx}{sin^2x}, ]=\\=-int  frac{dt}{sqrt{4-t^2}} =-arcsinfrac{t}{2}+C=-arcsinfrac{ctgx}{2}+C
Вас заинтересует