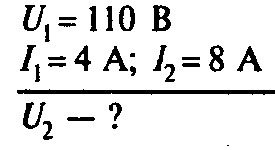
при напрузі на резисторі 110 В сила струму ньому 4А, яку напругу слід подати на резистор щоб сила струму в ньому була 8А?
Ответы
Ответ дал:
0
1-Дано
2- Решение
ответ: 1265. 220 В.
2- Решение
ответ: 1265. 220 В.
Приложения:


Вас заинтересует
2 года назад
2 года назад
7 лет назад
7 лет назад
9 лет назад
10 лет назад