• Предмет: Алгебра
  • Автор: Rorymax
  • Вопрос задан 9 лет назад

Помогите с интегралом пожалуйста)

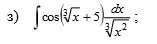
Приложения:

Ответы

Ответ дал: NNNLLL54
0
int cos(sqrt[3]{x}+5)cdot  frac{dx}{sqrt[3]{x^2}} =[; t=sqrt[3]{x}+5; ,; dt=(sqrt[3]{x}+5)'cdot dx=\\=(x^{frac{1}{3}})'dx=frac{1}{3}cdot x^{-frac{2}{3}}, dx=frac{1}{3}cdot frac{dx}{sqrt[3]{x^2}}; ]=3cdot int costcdot dt=\\=3cdot sint+C=3cdot sin(sqrt[3]{x}+5)+C
Вас заинтересует