Ответы
Ответ дал:
0
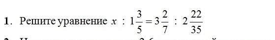
Икс равен одна целая двадцать восемь сотых
Приложения:

Вас заинтересует
2 года назад
2 года назад
9 лет назад