• Предмет: Алгебра
  • Автор: Ksusha202
  • Вопрос задан 9 лет назад

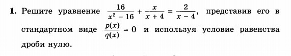
Помогите пожалуйста решить уравнение!! Умоляююю... завтра спрашивать будут...

Приложения:

Ответа на этот вопрос пока нет. Попробуйте найти его через форму поиска.

Вас заинтересует