• Предмет: Геометрия
  • Автор: dimans59
  • Вопрос задан 11 лет назад

Стороны треугольника равны 13,13 и 24 см . Найдите радиус вписанной в треугольник окружности

Ответы

Ответ дал: Fakes
0

найди середину треугольника проведи высоту и првоеди радиус к сторонам треугольника и измерь его

Ответ дал: Wesret
0

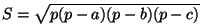
r=2*S/(a+b+c)

S вычисляем по формуле герона(см.во вложениях)

p=(a+b+c)/2=25

S=корень 25*12*12*1=5*12=60

r=2*60/(13+13+24)=120/50=2,4

Ответ:2,4

Приложения:
Вас заинтересует