• Предмет: Алгебра
  • Автор: ded231100
  • Вопрос задан 9 лет назад

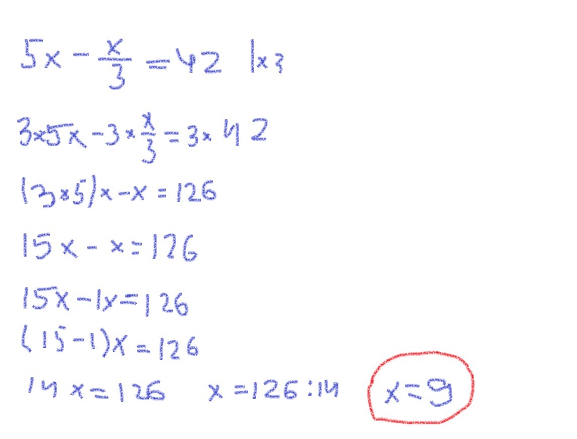
Решите уравнение 5x- frac{x}{3}=42

Ответы

Ответ дал: Kixcertborn2
0
Задание решено!!Ответ находится во вложении!!!!!
Приложения:
Вас заинтересует