• Предмет: Алгебра
  • Автор: Nozhka
  • Вопрос задан 9 лет назад

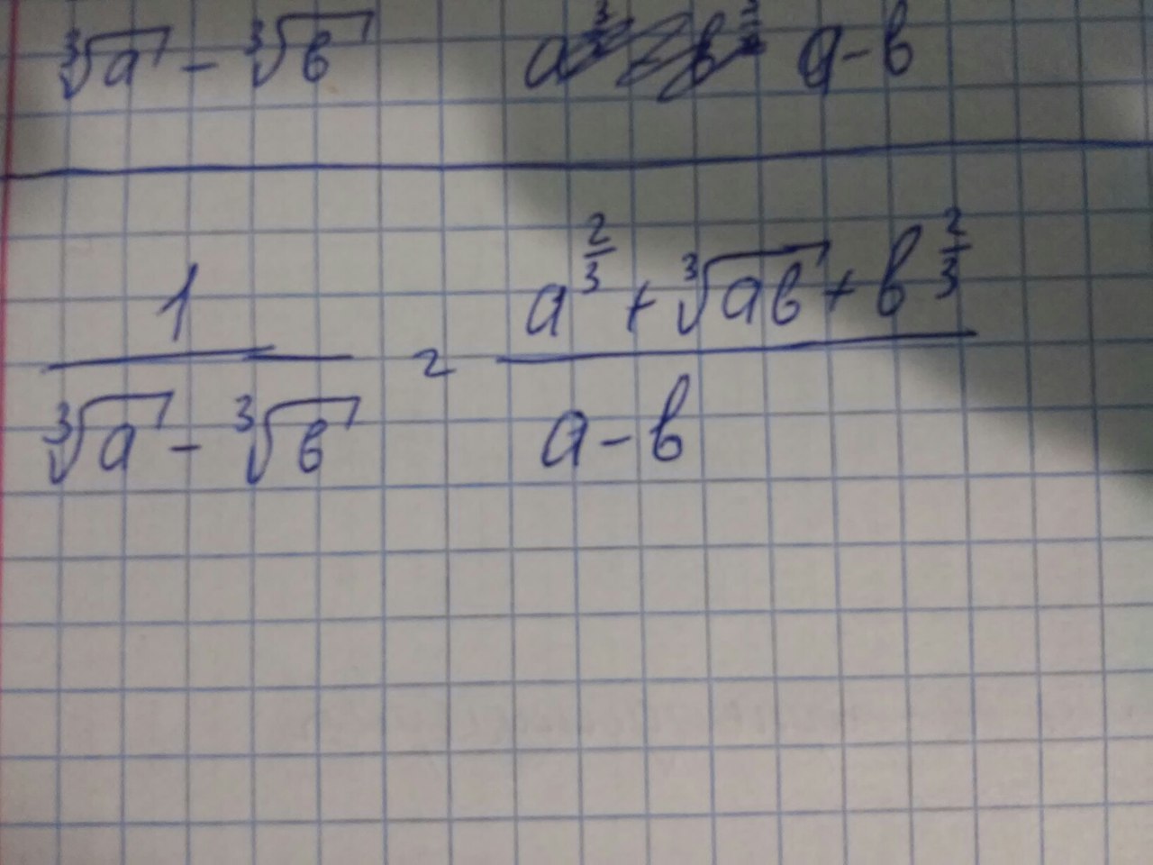
Срочно!!!! Прошууууу Моооолююююююю Помогите пожалуйста алгебра корни n-ной степени 9 класс. Представьте в виде дроби с рац. знаменателем.

Приложения:

Ответы

Ответ дал: serega33
0
Скорее всего так. Надеюсь это верно. Внизу разность кубов таится, поэтому домножили и числитель и знаменатель на вторую часть формулы "разность кубов". Соответственно знаменатель свернулся в рациональное выражение (а-b), а все плохое осталось наверху)
Приложения:
Ответ дал: Nozhka
0
Спасибо большое)))
Ответ дал: serega33
0
Да, извиняюсь что я так написал, надеюсь вы поняли) Вся суть в том, чтобы домножить на другую часть формулы)
Вас заинтересует