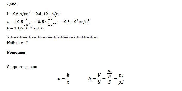
При серебрении пластинки через раствор электролита проходит ток плотностью j=0.6 А/см2. С какой скоростью растет толщина серебряного слоя , если плотность серебра p=10,5 г/см3, а его электрохимический эквивалент равен 1,12*10^-6 кг/Кл
Ответы
Ответ дал:
0
Решение во вложении:
Приложения:


Вас заинтересует
2 года назад
8 лет назад
10 лет назад
10 лет назад