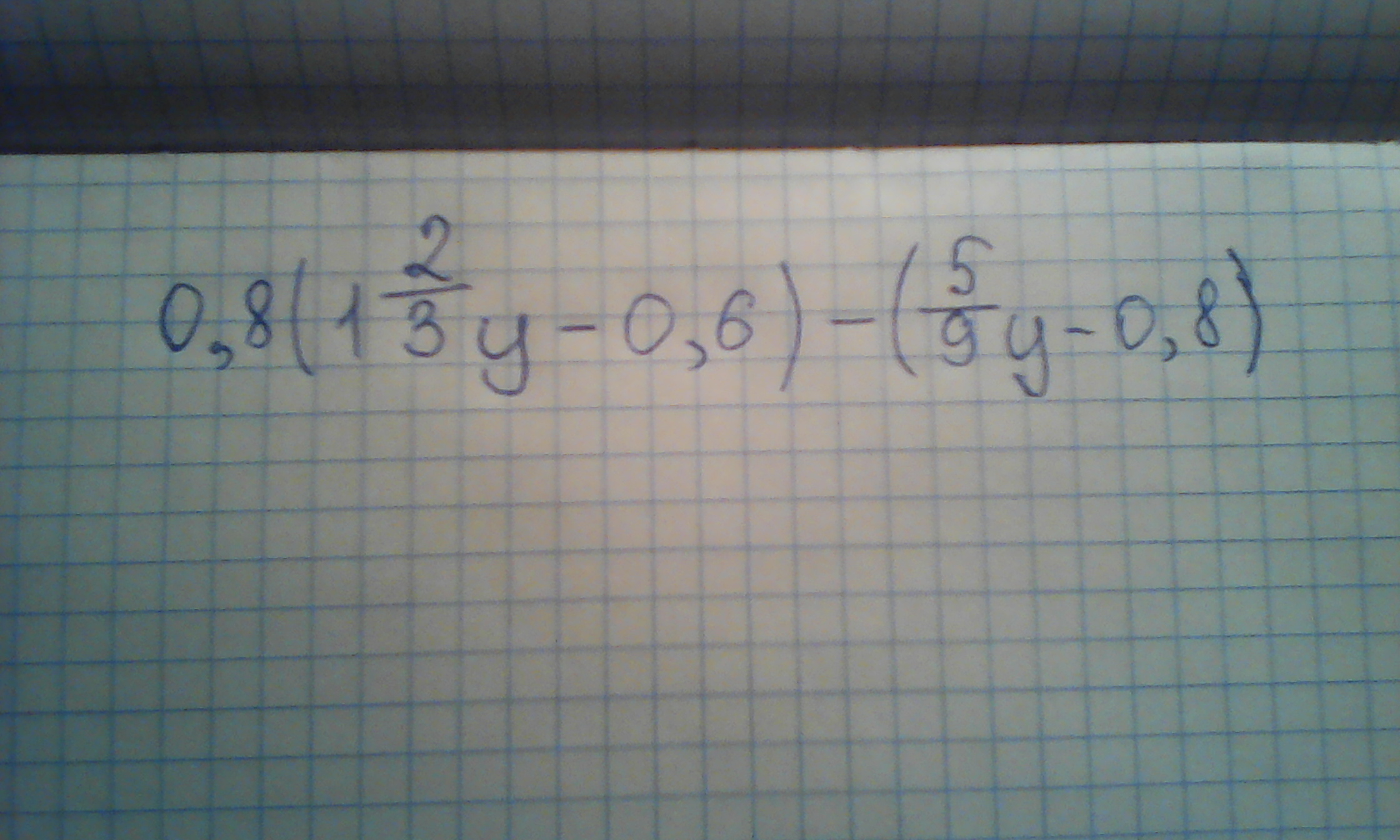
Упростить выражение: 1)раскройте скобки
2) приведите подобные слагаемые. (Именно так, по другому нельзя)задание приложено
Приложения:

Ответы
Ответ дал:
0
0,8( 1 2/3y - 0,6 ) - ( 5/9y - 0,8 ) = 4/5•5/3y - 0,48 - 5/9y + 0,8 = 4/3y - 0,48 - 5/9у + 0,8 = 12/9у - 5/9у - 0,48 + 0,8 = 7/9у + 0,32
Вас заинтересует
2 года назад
2 года назад
7 лет назад
9 лет назад
9 лет назад
10 лет назад
10 лет назад