• Предмет: Алгебра
  • Автор: Rorymax
  • Вопрос задан 9 лет назад

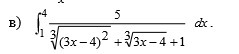
Помогите с интегралом, хотя б до предела интегрирования!

Приложения:

Ответа на этот вопрос пока нет. Попробуйте найти его через форму поиска.

Вас заинтересует