• Предмет: Алгебра
  • Автор: miil
  • Вопрос задан 11 лет назад

найдите промежутки убывания функции y = 2x³ + 9x² - 24x

Ответы

Ответ дал: Аноним
0

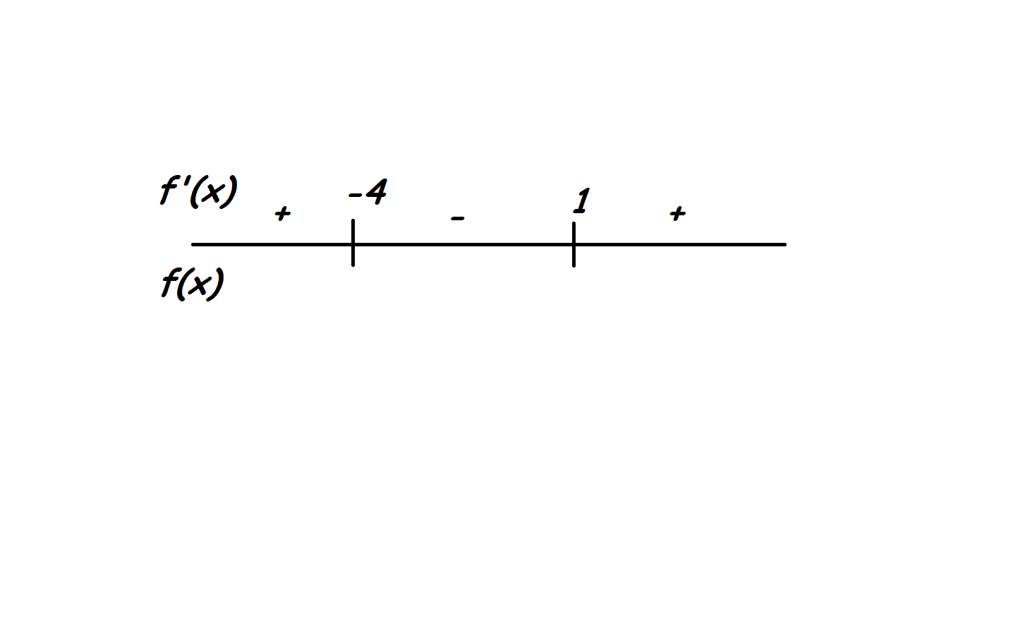
y=2x^3+9x^2-24x

y'=6x^2+18x-24

y'=0

6x^2+18x-24=0

x^2+3x-4=0

D=9+16=25

x1=frac{-3+5}{2}=frac{2}{2}=1

x2=frac{-3-5}{2}=frac{-8}{2}=-4

Ответ: Возростает: x e (-infty;-4)U(1;+infty)

Убывает: x e (-4;1)

Приложения:
Вас заинтересует