• Предмет: Математика
  • Автор: ProstoЧеловек
  • Вопрос задан 9 лет назад

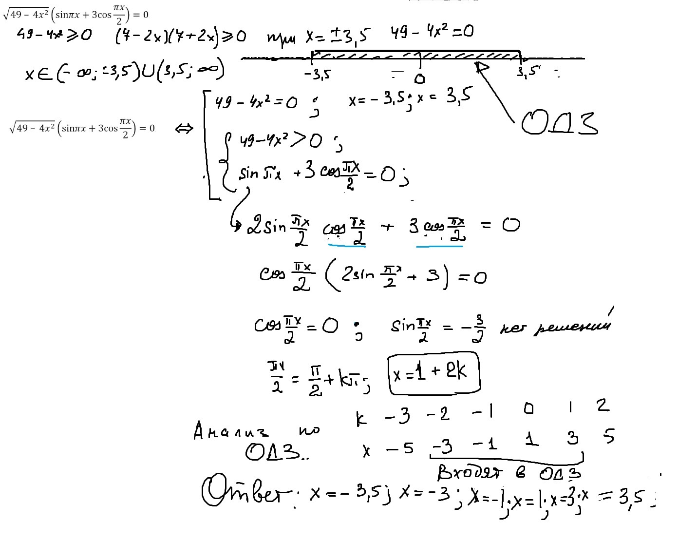
Помогите решить уравнение по математике.

Приложения:

Ответы

Ответ дал: bzsr1
0
На вид усложненное, но не очень. Как-то сразу решилось
Приложения:
Вас заинтересует