• Предмет: Алгебра
  • Автор: nev1L55
  • Вопрос задан 9 лет назад

Помогите решить!
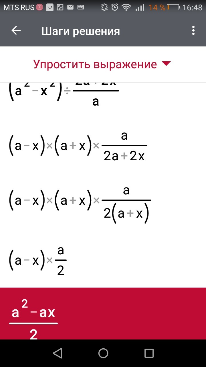
На тему Совместные действия над алгебраическими дробями!

Приложения:

Ответы

Ответ дал: nastyashabalova
0
Остальное не знаю((Не помню как решать((
Приложения:
Вас заинтересует