• Предмет: Алгебра
  • Автор: Аноним
  • Вопрос задан 9 лет назад

Разложите на множители
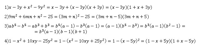
1) x-3y+x^2-9y^2=
2) 9m^2+6mn+n^2-25=
3) ab^5-b^5-ab^3+b^3=
4) 1-x^2+10xy-25y^=

Ответы

Ответ дал: vladko1406
0
_________________________________

Приложения:
Вас заинтересует