• Предмет: Алгебра
  • Автор: Irishka912
  • Вопрос задан 9 лет назад

помогите решить СРОЧНО

Приложения:

Ответы

Ответ дал: ВесёлыйУчёный
0
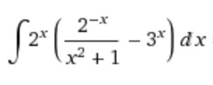
∫2^{x} ( frac{2^{-x}}{x^{2}+1} - 3^{x} ) dx = ∫ frac{2^{x}}{2^{x}x^{2} + 2^{x}} - 6 ^{x} dx = ∫ frac{1}{x^2+1} dx - ∫6 ^{x} dx = tan  ^ {-1} (x) -  frac{6^x}{log(6)}
Ответ дал: ВесёлыйУчёный
0
в конце там тангенс в степени -1, что-то не высвечивается
Вас заинтересует