Ответы
Ответ дал:
0
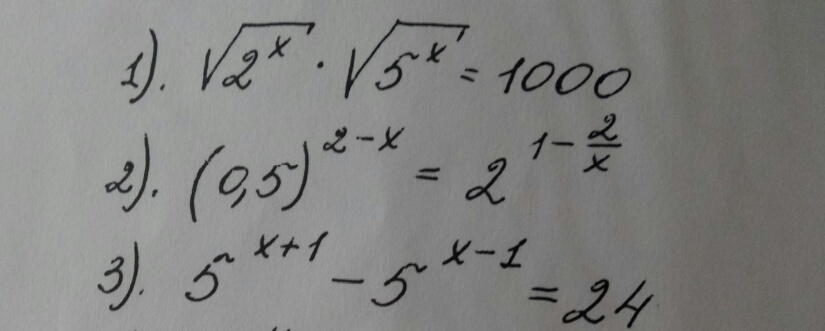
√2ˣ *√5ˣ =1000
√2ˣ *5ˣ=1000
√10ˣ =1000 возведем в квадрат обе части
10ˣ=(1000)²
10ˣ=10⁶
х=6
---------------------------------------------------------------------------------------
0,5²⁻ˣ= 2¹⁻ ²/ˣ
(0,5)=1/2=2⁻¹ перепишем
(2⁻¹ )²⁻ˣ= 2¹⁻ ²/ˣ
2ˣ⁻²=2¹ ⁻ ²/ˣ
2ˣ 2
----- = -------- ⇒ 2ˣ*2²/ˣ =2*2² 2ˣ⁺ ²/ˣ= 2³ х+2/х =3
2² 2²/ˣ
х+2/х =3
х²-3х+2=0
D=9-8=1
x₁=(3+1)/2=2
x₂=(3-1)/2=1
----------------------------------------------------------------------------------------
5ˣ⁺¹-5ˣ⁻¹=24
5*5ˣ- 5ˣ/5 =24
5ˣ(5-1/5)=24
5ˣ* 24/5=24
5ˣ=24 :24/5
5ˣ=24* 5/24
5ˣ=5¹
х=1
√2ˣ *5ˣ=1000
√10ˣ =1000 возведем в квадрат обе части
10ˣ=(1000)²
10ˣ=10⁶
х=6
---------------------------------------------------------------------------------------
0,5²⁻ˣ= 2¹⁻ ²/ˣ
(0,5)=1/2=2⁻¹ перепишем
(2⁻¹ )²⁻ˣ= 2¹⁻ ²/ˣ
2ˣ⁻²=2¹ ⁻ ²/ˣ
2ˣ 2
----- = -------- ⇒ 2ˣ*2²/ˣ =2*2² 2ˣ⁺ ²/ˣ= 2³ х+2/х =3
2² 2²/ˣ
х+2/х =3
х²-3х+2=0
D=9-8=1
x₁=(3+1)/2=2
x₂=(3-1)/2=1
----------------------------------------------------------------------------------------
5ˣ⁺¹-5ˣ⁻¹=24
5*5ˣ- 5ˣ/5 =24
5ˣ(5-1/5)=24
5ˣ* 24/5=24
5ˣ=24 :24/5
5ˣ=24* 5/24
5ˣ=5¹
х=1
Вас заинтересует
2 года назад
2 года назад
7 лет назад
7 лет назад
10 лет назад
10 лет назад
10 лет назад