• Предмет: Математика
  • Автор: nikolino137
  • Вопрос задан 9 лет назад

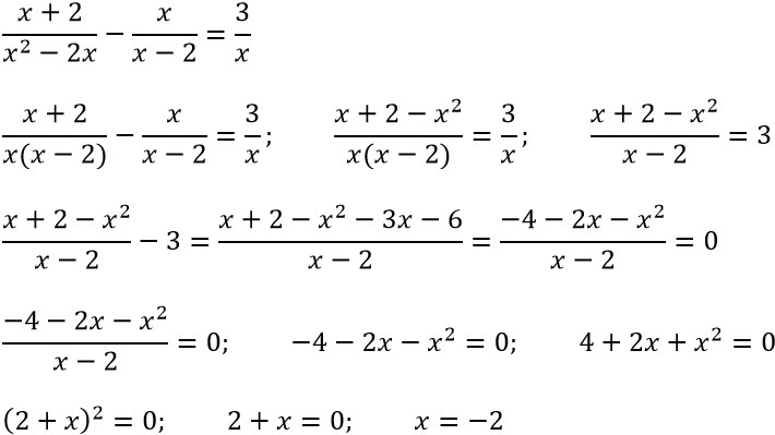
frac{x+2}{ x^{2} -2x} - frac{x}{x-2}= frac{3}{x}

Ответы

Ответ дал: ДмитрийМитченков
0
Если я все правильно понял, то получается как то так...
Приложения:
Вас заинтересует