• Предмет: Геометрия
  • Автор: fdtvaa
  • Вопрос задан 9 лет назад

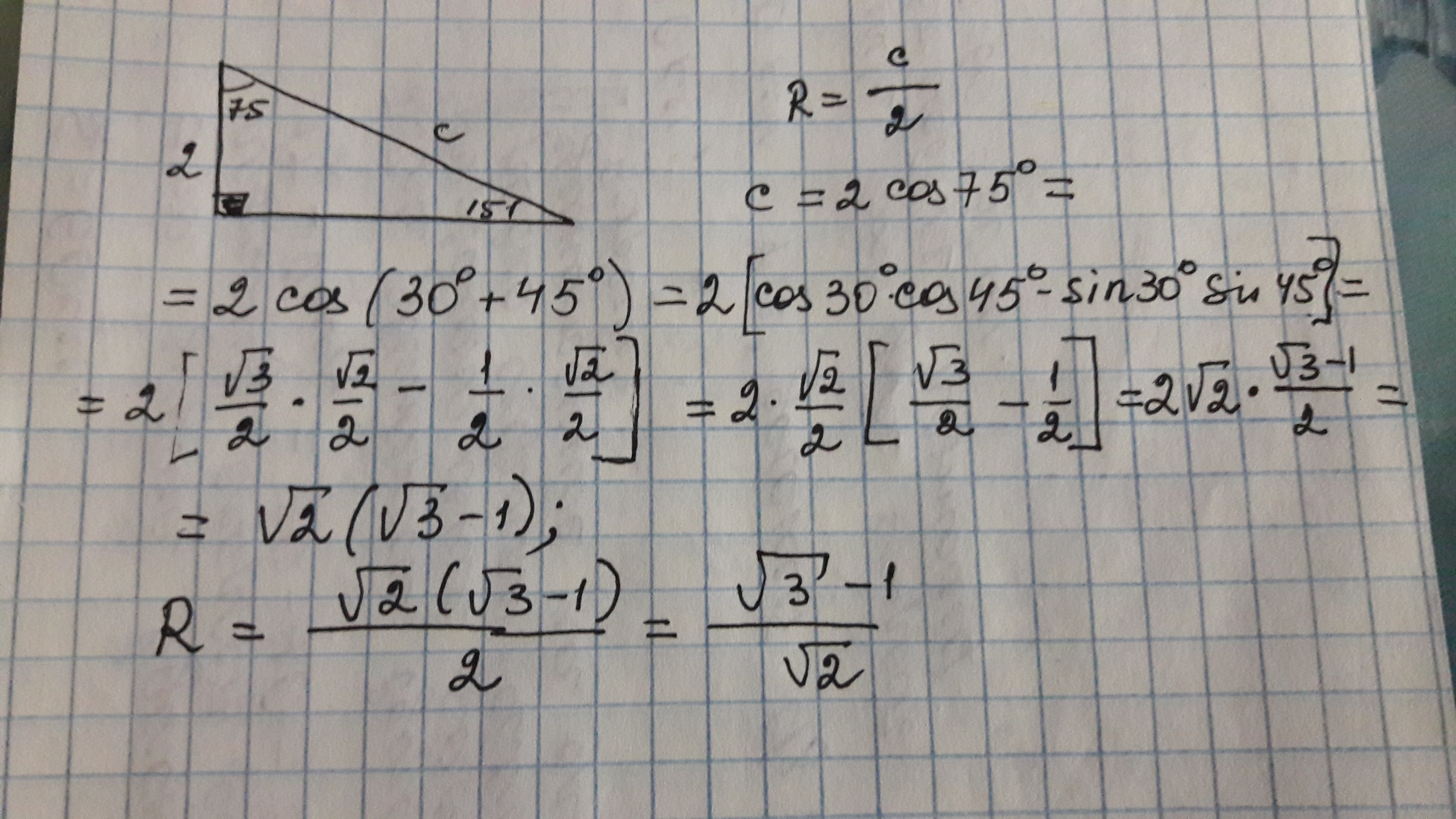
Углы треугольника соотносятся как 1:5:6. Длина наименьшей стороны равна 2. Найти радиус вписанной окружности

Ответы

Ответ дал: elviradar
0
180/12=15. 1*15=15°; 5*15=75°; 6*15=90°.
Приложения:
Вас заинтересует