Ответы
Ответ дал:
0
1) 
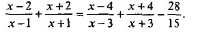
Общий знаменатель 15(x-1)(x+1)(x-3)(x+3). Умножаем на него.
15(x-2)(x+1)(x-3)(x+3) + 15(x-1)(x+2)(x-3)(x+3) =
= 15(x-1)(x+1)(x-4)(x+3) + 15(x-1)(x+1)(x+4)(x-3) - 28(x-1)(x+1)(x-3)(x+3)
Раскрываем скобки
15(x^2-x-2)(x^2-9) + 15(x^2+x-2)(x^2-9) = 15(x^2-1)(x^2-x-12) +
+ 15(x^2-1)(x^2+x-12) - 28(x^2-1)(x^2-9)
Слегка преобразуем
15(x^2-x-2)(x^2-9) + 15(x^2+x-2)(x^2-9) + 14(x^2-1)(x^2-9) =
= 15(x^2-1)(x^2-x-12) + 15(x^2-1)(x^2+x-12) - 14(x^2-1)(x^2-9)
Выносим слева (x^2-9), справа (x^2-1)
(x^2-9)(15x^2-15x-30+15x^2+15x-30+14x^2-14) =
= (x^2-1)(15x^2-15x-180+15x^2+15x-180-14x^2+126)
Упрощаем
(x^2-9)(44x^2-74) = (x^2-1)(16x^2-234)
Раскрываем скобки окончательно
44x^4 - 9*44x^2 - 74x^2 + 9*74 = 16x^4 - 16x^2 - 234x^2 + 234
Приводим подобные
28x^4 - 220x^2 + 432 = 0
Биквадратное уравнение. Делим все на 4
7x^4 - 55x^2 + 108 = 0
D = 55^2 - 4*7*108 = 3025 - 3024 = 1
x^2 = (55-1)/14 = 54/14 = 27/7; x1 = -√(27/7); x2 = √(27/7)
x^2 = (55+1)/14 = 56/14 = 4; x3 = -2; x4 = 2
2)
Формулы приведения:


Подставляем

Общий знаменатель 15(x-1)(x+1)(x-3)(x+3). Умножаем на него.
15(x-2)(x+1)(x-3)(x+3) + 15(x-1)(x+2)(x-3)(x+3) =
= 15(x-1)(x+1)(x-4)(x+3) + 15(x-1)(x+1)(x+4)(x-3) - 28(x-1)(x+1)(x-3)(x+3)
Раскрываем скобки
15(x^2-x-2)(x^2-9) + 15(x^2+x-2)(x^2-9) = 15(x^2-1)(x^2-x-12) +
+ 15(x^2-1)(x^2+x-12) - 28(x^2-1)(x^2-9)
Слегка преобразуем
15(x^2-x-2)(x^2-9) + 15(x^2+x-2)(x^2-9) + 14(x^2-1)(x^2-9) =
= 15(x^2-1)(x^2-x-12) + 15(x^2-1)(x^2+x-12) - 14(x^2-1)(x^2-9)
Выносим слева (x^2-9), справа (x^2-1)
(x^2-9)(15x^2-15x-30+15x^2+15x-30+14x^2-14) =
= (x^2-1)(15x^2-15x-180+15x^2+15x-180-14x^2+126)
Упрощаем
(x^2-9)(44x^2-74) = (x^2-1)(16x^2-234)
Раскрываем скобки окончательно
44x^4 - 9*44x^2 - 74x^2 + 9*74 = 16x^4 - 16x^2 - 234x^2 + 234
Приводим подобные
28x^4 - 220x^2 + 432 = 0
Биквадратное уравнение. Делим все на 4
7x^4 - 55x^2 + 108 = 0
D = 55^2 - 4*7*108 = 3025 - 3024 = 1
x^2 = (55-1)/14 = 54/14 = 27/7; x1 = -√(27/7); x2 = √(27/7)
x^2 = (55+1)/14 = 56/14 = 4; x3 = -2; x4 = 2
2)
Формулы приведения:
Подставляем
Вас заинтересует
2 года назад
2 года назад
7 лет назад
7 лет назад
10 лет назад
10 лет назад