• Предмет: Математика
  • Автор: афанасій
  • Вопрос задан 9 лет назад

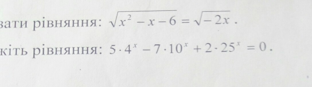
поможіть)))))))))))...................

Приложения:

Ответы

Ответ дал: SergeyLis
0
Снимаем корни возведением в квадрат
Останутся x^2-x-6=-2x
Переносим все в 1 часть
x^2+x-6=0
1+24=25
D=-1+-5/2=2;-3
Вас заинтересует