Ответы
                                            Ответ дал: 
                                                                                    
                                        
                                            
                                                
                                                
                                                
                                                    0
                                                
                                            
                                        
                                    
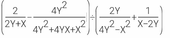
                                         2 4у^2 2у
( ------- – ------------):(------------------ –
2у+х (2у+х)^2 (2у–х)(2у+х)
1 2(2у+х)–4у^2 2у–(2у+х)
– --------) = ------------------- : ----------------
2у–х (2у+х)^2 (2у–х)(2у+х)
4у^2+2х–4у^2 2у–2у–х
= --------------------- : ------------------ =
(2у+х)^2 (2у–х)(2у+х)
2х(2у–х)(2у+х) 2(2у–х)
= --------------------- = – ------------
–х(2у+х)^2 (2у+х)
                                        
                                        
                                ( ------- – ------------):(------------------ –
2у+х (2у+х)^2 (2у–х)(2у+х)
1 2(2у+х)–4у^2 2у–(2у+х)
– --------) = ------------------- : ----------------
2у–х (2у+х)^2 (2у–х)(2у+х)
4у^2+2х–4у^2 2у–2у–х
= --------------------- : ------------------ =
(2у+х)^2 (2у–х)(2у+х)
2х(2у–х)(2у+х) 2(2у–х)
= --------------------- = – ------------
–х(2у+х)^2 (2у+х)
                                            Ответ дал: 
                                                                                    
                                        
                                            
                                                
                                                
                                                
                                                    0
                                                
                                            
                                        
                                    
                                        можно фото
                                    
                                        
                                        
                                
                                            Ответ дал: 
                                                                                    
                                        
                                            
                                                
                                                
                                                
                                                    0
                                                
                                            
                                        
                                    
                                        Я с телефона, на бумаге не писала, поэтому к сожалению нельзя
                                    
                                        
                                        
                                Вас заинтересует
                
                        2 года назад
                    
                
                        2 года назад
                    
                
                        7 лет назад
                    
                
                        7 лет назад
                    
                
                        9 лет назад
                    
                
                        10 лет назад
                    
                
                        10 лет назад